
Ningxia Zhongsheng New-Tech Co., Ltd. is a national high-tech enterprise (Certificate No. : GR201864000002). Founded in 1998, located in Zhongwei Industrial Park, Ningxia, the company covers an area of 335 mu, with more than 500 employees, including more than 120 senior r&d personnel. The company is a professional manufacturer of deep blue reducers (2-amino-4-acetaminophenol / 3-amino-4-methoxyacetanilide) with advanced production technology and equipment at home and abroad. The company adopts clean and efficient catalytic hydrogenation reduction production process encouraged by the state, which has been independently developed for many years, to replace the traditional iron powder reduction process which has been officially eliminated by the state, thus eliminating pollution problems such as iron sludge, and providing technical support for the healthy development of the growing deep blue reducing industry. At present, the production capacity reaches 20,000 tons/year. The product is an important intermediate such as dye, medicine and pesticide, accounting for more than 65% of the domestic and foreign markets.
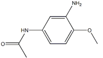
The main products of the company are 2-Amino-4-acetamino anisole (CAS: 6375-47-9), 4'-Methoxyacetanilide (CAS: 51-66-1), 4-Methoxy-3-Nitroacetaniline (CAS: 50651-39-3), p-Anisidine (CAS: 104-94-9), 6-Chloro-2,4-dinitroaniline (CAS: 3531-19-9), etc.
Our company takes "protecting the environment, refusing pollution, keeping promises and taking responsibility" as its own duty, and gives priority to the technological progress of environmental protection control device. Our company has invested more than 90 million yuan, supporting the construction of independent development of domestic technology leading acid wastewater four-effect vacuum recycling and recycling environmental protection device, instead of the traditional lime neutralization treatment method, solve the problem of dilute sulfuric acid recycling and environmental pollution, realize the full use of resources. In order to promote industrial upgrading and promote the development of local economy, the company contributes to the construction of an "open, rich, harmonious and beautiful" society.
Links: ChemNet Global - China Chemical Network - Chemical CAS Database - ChemNet Mall - ChinaTexNet - Toocle Global
© SunSirs All Rights Reserved. 浙B2-20080131-44